Village News

Christmas Lights

W1/09-0173 | Retention of dwelling & construction of additional dwelling Head No(s): 87336 | Adj To Railway Viaduct Riverside La

 

Reference

W1/09-0173

Alternative Reference  
Application Validated

Mon 23 Mar 2009

Address

Adj To Railway Viaduct Riverside Lane Angarrack

Proposal

Retention of dwelling & construction of additional dwelling
Head No(s): 87336

Status

Decided

Decision

Approved with conditions

Decision Issued Date

Tue 02 Jun 2009

Appeal Status

Unknown

Appeal Decision  

There are 10 documents associated with this application.

There are 0 cases associated with this application.

There is 1 property associated with this application.

 

 

Date Published Document Type Measure Drawing Number Description View
21 Apr 2015 Plan - (historical data) Measure Document     View Document
21 Apr 2015 Plan - (historical data) Measure Document     View Document
21 Apr 2015 Plan - (historical data) Measure Document     View Document
21 Apr 2015 Plan - (historical data) Measure Document     View Document
31 Mar 2015 Plan - (historical data) Measure Document     View Document
31 Mar 2015 Plan - (historical data) Measure Document     View Document
31 Mar 2015 Application Documents Cannot Measure Document     View Document
31 Mar 2015 Plan - (historical data) Measure Document     View Document
31 Mar 2015 Plan - (historical data) Measure Document     View Document
31 Mar 2015 Plan - (historical data) Measure Document     View Document

 

Line of protective tree fencing
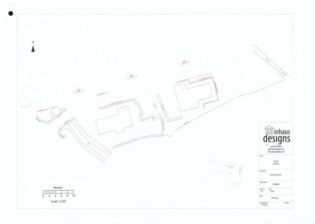
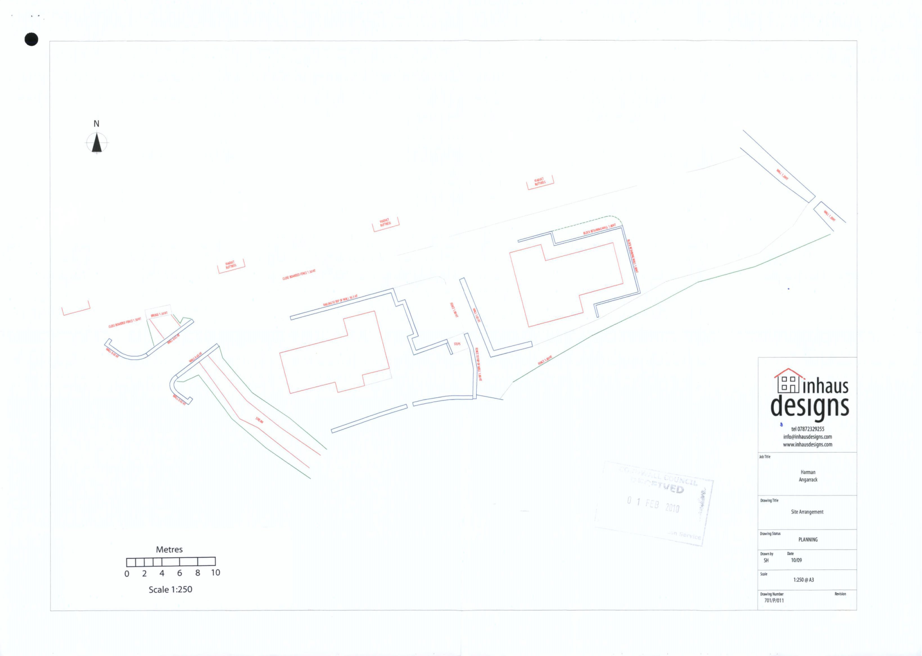
Site Arrangement
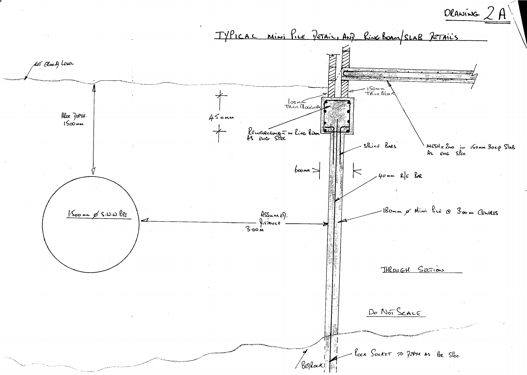
Drawing 2a Typical mini pile
Road and Parking levels
Hard and Soft Landscaping Details
Hard and Soft Landscaping Details ii
Appeal page 1
Appeal page 2
Appeal page 3
Appeal page 4
Appeal page 5
Appeal page 6
Appeal page 7
Permission letter page 1
Permission letter page 2
Permission page 1
Permission page 2
Permission page 3
Officers Report page 1
Officers Report page 2
Officers Report page 3
Officers Report page 4
Officers Report page 5
Photos 1
Photos 2
Photos 3

Book page

TitleCreated
2026-EXTENDED-17th April 2026 to 22nd April- Resurfacing Steamers Hill; Hatchs Hill; Angarrack Lane | 1 Apr 07:30 - 17 Apr 23:59 4 days 11 hours agoBook page
2026-April-POSTPONED-planned improvements i.e. install footpath, paint double yellow lines junction Grist Lane Hatchs Hill 1 week 1 day agoBook page
2026 - Resurfacing Steamers Hill; Hatchs Hill; Angarrack Lane | 1 Apr 07:30 - 17 Apr 23:59 2 weeks 5 days agoBook page
250330; Closure order:30 Mar-17 Apr 2026; 07:30-17:00; Clearway Parking Zone; Hatchs Hill, Steamers Hill and Angarrack Lane 4 weeks 17 hours agoBook page
Traffic/Roads - Marsh/Grist Lane - Traffic counts 2019 onwards 15 weeks 4 days agoBook page
Approved with conditions | PA25/07094 | First floor extension over existing garage to create Art studio with guest bedroom... 20 weeks 17 hours agoBook page
PA25/07094 | First floor extension over existing garage to create Art studio with guest bedroom, covered parking area below | As 20 weeks 6 days agoBook page
251027 | 20mph Monitoring—Hayle & St Ives Speed Data; Phase 3a-May-Jun 24 v Sep-Oct 24; Steamers Hill; Gwinear;Carbis;Nancledra 24 weeks 6 days agoBook page
PA25/07184 | Retention of 4no. existing holiday pods, swimming pool, incidental building, extended driveway and annexe converted 25 weeks 2 days agoBook page
251009 | Stark reality of life in Cornwall revealed through 2025 Vital Signs Report 27 weeks 3 days agoBook page
251010 | Cornwall backs 20mph rollout; St Austell's the only town to reject the plans 27 weeks 3 days agoBook page
250930 | Cornwall’s 20 mph speed limits have made the roads much safer 28 weeks 6 days agoBook page